Bog'lanish

Telefon
(+998 75) 230-01-76

Elektron manzil
qashqadaryo@adliya.uz

Habarni yuborish
Ishonch telefoni 1008

Янгиликлар

09

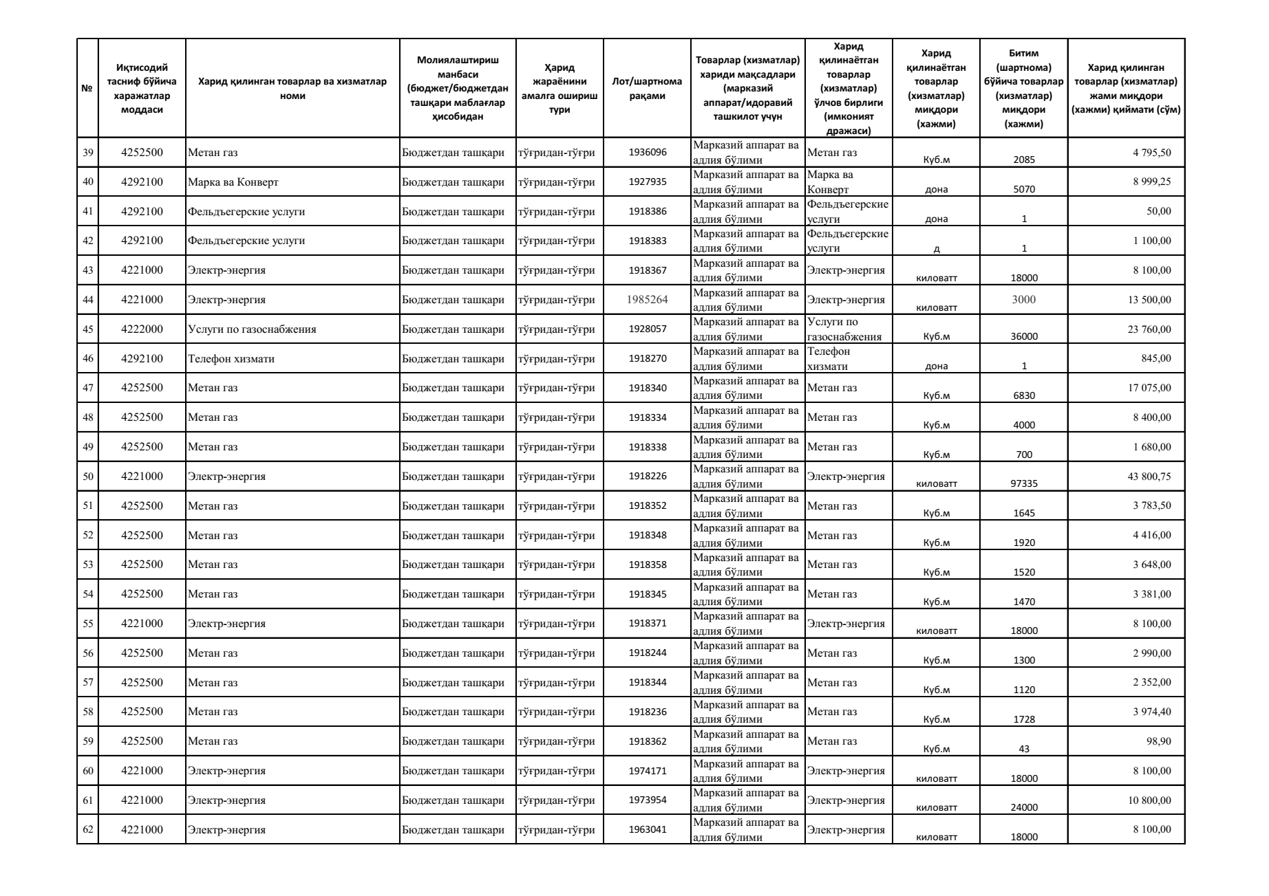
Қашқадарё вилоят адлия бошқармасининг ажратилган маблағларининг 2021 йил 1 чорак бўйича тақсимоти тўғрисида маълумот